全部名称
阿昔替尼、阿西替尼、英立达、Inlyta、Axitinib
适应人群
经病理确诊为进展期肾细胞癌,且符合既往TKI或细胞因子治疗失败或者中高危不可切除或转移性肾细胞癌需一线联合治疗条件之一的患者。
[ 详情 ]



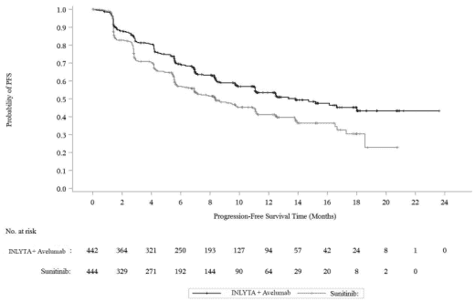
图片来源: 图片来自公开渠道(如FDA官网、Drugs官网、原研药厂官网等),仅供参考。
参考资料: FDA说明书更新于2024年7月16日,FDA说明书网址:https://www.accessdata.fda.gov/scripts/cder/daf/index.cfm?event=overview.process&ApplNo=202324

[ 免责声明 ] 本页面内容来自公开渠道(如FDA官网、Drugs官网、原研药厂官网等),仅供持有医疗专业资质的人员用于医学药学研究参考,不构成任何治疗建议或药品推荐。所涉药品可能未在中国大陆获批上市,不适用于中国境内销售和使用。如需治疗,请咨询正规医疗机构。本站不提供药品销售或代购服务。
